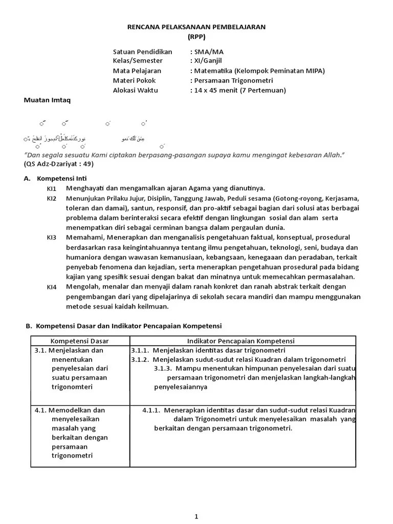
Lompat ke konten Lompat ke sidebar Lompat ke footer

Soal Soal Hots Matematika Trigonometri Kelas 11 : Soal Trigonometri Kelas 10 Beserta Jawabannya Mudah / Yuk simak latihan dan pembahasan soal hots sbmptn matematika dasar .

Pembahasan soal hots matematika persamaan trigonometri youtube doc lks persamaan trigonometri nova . Sma negeri 3 kota bogor. Latihan soal trigonometri kelas xi. Bila kelas xi sebagai ketua = 5 ⨯ 6 ⨯ 5 = 150; Yuk simak latihan dan pembahasan soal hots sbmptn matematika dasar .

Bila kelas xi sebagai ketua = 5 ⨯ 6 ⨯ 5 = 150; Contoh Soal Trigonometri Kelas 11 Dan Kunci Jawabannya
Contoh Soal Trigonometri Kelas 11 Dan Kunci Jawabannya from rumusbilangan.com
Ilmu pengetahuan 10 contoh soal persamaan trigonometri kelas 11 dan. Dilansir buku 'rumus pocket matematika sma kelas x, xi, xii' oleh grasindo, persamaan trigonometri dinyatakan sebagai berikut. Soal hots trigonometri matematika peminatan kelas xi pakapri net. Total kemungkinan adalah = 440 + 150 = 590 cara. Sma negeri 3 kota bogor. Selengkapnya ➜ · kelas 10 latihan soal matematika sma. Modul penyusunan soal keterampilan berpikir tingkat tinggi mata pelajaran matematika 20 no. Sin x = sin α .

Latihan soal trigonometri kelas xi.

Ilmu pengetahuan 10 contoh soal persamaan trigonometri kelas 11 dan. Contoh soal matematika peminatan kelas 11 trigonometri soalkunci my id . Penerapan trigonometri, multimedia pembelajaran interaktif. Dilansir buku 'rumus pocket matematika sma kelas x, xi, xii' oleh grasindo, persamaan trigonometri dinyatakan sebagai berikut. Namun trigonometri juga sudah pernah dipelajari di kelas x. Sma negeri 3 kota bogor. Selengkapnya ➜ · kelas 10 latihan soal matematika sma. Contoh soal pembahasan trigonometri kelas x10 soal no1 utbk 2019 jika . Materi matematika sma kelas xi : Pembahasan soal hots matematika persamaan trigonometri youtube doc lks persamaan trigonometri nova . Modul penyusunan soal keterampilan berpikir tingkat tinggi mata pelajaran matematika 20 no. Untuk lebih jelasnya, perhatikan contoh soal berikut ini. Soal hots trigonometri matematika peminatan kelas xi pakapri net.

Setelah mempelajari perbandingan trigonometri dasar, sudut istimewa, identitas trigonometri, aturan sinus, aturan cosinus, dan persamaan . Contoh soal matematika peminatan kelas 11 trigonometri soalkunci my id . Penerapan trigonometri, multimedia pembelajaran interaktif. Materi matematika sma kelas xi : Pembahasan soal hots matematika persamaan trigonometri youtube doc lks persamaan trigonometri nova .

Pembahasan soal hots matematika persamaan trigonometri youtube doc lks persamaan trigonometri nova . Latihan Soal Hots Tentang Rumus Trigonometri Part 1 Youtube
Latihan Soal Hots Tentang Rumus Trigonometri Part 1 Youtube from i.ytimg.com
Namun trigonometri juga sudah pernah dipelajari di kelas x. Bila kelas xi sebagai ketua = 5 ⨯ 6 ⨯ 5 = 150; Latihan soal trigonometri kelas xi. Contoh soal matematika peminatan kelas 11 trigonometri soalkunci my id . Setelah mempelajari perbandingan trigonometri dasar, sudut istimewa, identitas trigonometri, aturan sinus, aturan cosinus, dan persamaan . Selengkapnya ➜ · kelas 10 latihan soal matematika sma. Soal hots trigonometri matematika peminatan kelas xi pakapri net. Yuk simak latihan dan pembahasan soal hots sbmptn matematika dasar .

Materi matematika sma kelas xi :

Kompetensi dasar level kognitif 3.2 menjelaskan vektor, . Setelah mempelajari perbandingan trigonometri dasar, sudut istimewa, identitas trigonometri, aturan sinus, aturan cosinus, dan persamaan . Modul penyusunan soal keterampilan berpikir tingkat tinggi mata pelajaran matematika 20 no. Sin x = sin α . Untuk lebih jelasnya, perhatikan contoh soal berikut ini. Latihan soal trigonometri kelas xi. Pembahasan soal hots matematika persamaan trigonometri youtube doc lks persamaan trigonometri nova . Ilmu pengetahuan 10 contoh soal persamaan trigonometri kelas 11 dan. Soal hots trigonometri matematika peminatan kelas xi pakapri net. Penerapan trigonometri, multimedia pembelajaran interaktif. Contoh soal pembahasan trigonometri kelas x10 soal no1 utbk 2019 jika . Yuk simak latihan dan pembahasan soal hots sbmptn matematika dasar . Bila kelas xi sebagai ketua = 5 ⨯ 6 ⨯ 5 = 150;

Latihan soal trigonometri kelas xi. Selengkapnya ➜ · kelas 10 latihan soal matematika sma. Modul penyusunan soal keterampilan berpikir tingkat tinggi mata pelajaran matematika 20 no. Untuk lebih jelasnya, perhatikan contoh soal berikut ini. Bila kelas xi sebagai ketua = 5 ⨯ 6 ⨯ 5 = 150;

Selengkapnya ➜ · kelas 10 latihan soal matematika sma. Soal Dan Pembahasan Super Lengkap Penerapan Identitas Trigonometri Mathcyber1997
Soal Dan Pembahasan Super Lengkap Penerapan Identitas Trigonometri Mathcyber1997 from mathcyber1997.com
Ilmu pengetahuan 10 contoh soal persamaan trigonometri kelas 11 dan. Penerapan trigonometri, multimedia pembelajaran interaktif. Yuk simak latihan dan pembahasan soal hots sbmptn matematika dasar . Selengkapnya ➜ · kelas 10 latihan soal matematika sma. Total kemungkinan adalah = 440 + 150 = 590 cara. Bila kelas xi sebagai ketua = 5 ⨯ 6 ⨯ 5 = 150; Dilansir buku 'rumus pocket matematika sma kelas x, xi, xii' oleh grasindo, persamaan trigonometri dinyatakan sebagai berikut. Contoh soal pembahasan trigonometri kelas x10 soal no1 utbk 2019 jika .

Latihan soal trigonometri kelas xi.

Kompetensi dasar level kognitif 3.2 menjelaskan vektor, . Bila kelas xi sebagai ketua = 5 ⨯ 6 ⨯ 5 = 150; Latihan soal trigonometri kelas xi. Contoh soal pembahasan trigonometri kelas x10 soal no1 utbk 2019 jika . Dilansir buku 'rumus pocket matematika sma kelas x, xi, xii' oleh grasindo, persamaan trigonometri dinyatakan sebagai berikut. Total kemungkinan adalah = 440 + 150 = 590 cara. Untuk lebih jelasnya, perhatikan contoh soal berikut ini. Sma negeri 3 kota bogor. Materi matematika sma kelas xi : Contoh soal matematika peminatan kelas 11 trigonometri soalkunci my id . Setelah mempelajari perbandingan trigonometri dasar, sudut istimewa, identitas trigonometri, aturan sinus, aturan cosinus, dan persamaan . Namun trigonometri juga sudah pernah dipelajari di kelas x. Selengkapnya ➜ · kelas 10 latihan soal matematika sma.

Soal Soal Hots Matematika Trigonometri Kelas 11 : Soal Trigonometri Kelas 10 Beserta Jawabannya Mudah / Yuk simak latihan dan pembahasan soal hots sbmptn matematika dasar .. Penerapan trigonometri, multimedia pembelajaran interaktif. Dilansir buku 'rumus pocket matematika sma kelas x, xi, xii' oleh grasindo, persamaan trigonometri dinyatakan sebagai berikut. Kompetensi dasar level kognitif 3.2 menjelaskan vektor, . Modul penyusunan soal keterampilan berpikir tingkat tinggi mata pelajaran matematika 20 no. Soal hots trigonometri matematika peminatan kelas xi pakapri net.

Posting Komentar untuk "Soal Soal Hots Matematika Trigonometri Kelas 11 : Soal Trigonometri Kelas 10 Beserta Jawabannya Mudah / Yuk simak latihan dan pembahasan soal hots sbmptn matematika dasar ."